Part of the Neighborhood Park Plan series of posts.
Austin Parks Foundation and TreeFolks, in partnership with the Urban Forestry Division at PARD, have proposed a partnership with Friends of Patterson Park in order to plant two small groves of trees at the park this October. The objective is to increase the diversity of tree species and add more beauty and health to the park. Urban Forestry will approve this project if FoPP members can commit to watering and maintaining the trees for two years while they get established.
All materials costs, education and information resources, tool supply and organizing the tree planting will be provided by Austin Parks Foundation and TreeFolks; supplemental watering for two years (commitment to establish the trees), tree mulching and other maintenance will be the responsibility of the Friends of Patterson Park.


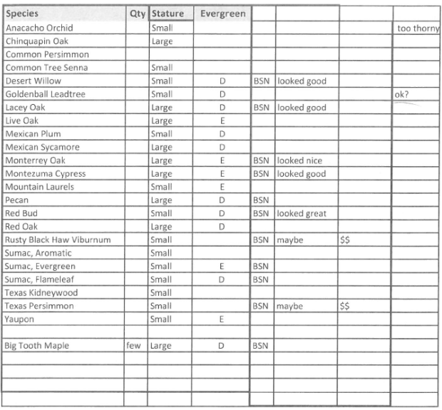
Tree Species List. May be modified.

Groves 1 and 2 north of restrooms, west of pool.

Grove of post oaks at Patterson Park near volleyball court

3 thoughts on “Proposed Project: Tree Planting”